Пресс-центр

01.09.2025

1474

Обновлено: 18.12.2025

Как влияет уровень CO2 на самочувствие и работоспособность

Как влияет уровень CO2 на самочувствие и работоспособность

Содержание

От качества воздуха в помещении напрямую зависит, насколько комфортно в нем будет находиться, продуктивно работать и отдыхать. Один из ключевых факторов качества воздуха — уровень углекислого газа. В статье разберем, как влияет углекислый газ на человека, какие показатели считаются оптимальными, и поделимся практическими советами по улучшению качества воздуха в офисе и дома.

Что такое углекислый газ

Углекислый газ или CO₂ — это газ без цвета и запаха, который входит в состав атмосферы Земли. Он играет важную роль в регулировании климата и жизнедеятельности организмов: поддерживает температурный баланс планеты, стимулирует функцию дыхания у млекопитающих и является частью углеродного цикла, участвуя в процессе фотосинтеза.

CO₂ образуется в результате естественных природных процессов и действий человека, или по-другому — антропогенных факторов

Природные источники CO₂

  • Жизнедеятельность живых организмов.

  • Разложение органических веществ в почве.

  • Вулканическая активность.

  • Лесные пожары.

Антропогенные факторы, влияющие на уровень CO₂

  • Сжигание ископаемого топлива для транспорта, промышленности и энергетики.

  • Производственные процессы, например, изготовление цемента.

  • Вырубка лесов.

Как углекислый газ влияет на организм человека

CO₂ необходим для жизнедеятельности человека. Он играет важную роль в обмене веществ, поддерживает кислотно-щелочной баланс, влияет на расширение и сужение кровеносных сосудов. 

Для хорошего самочувствия и работоспособности важно поддерживать оптимальный уровень CO₂ в воздухе. Его концентрация измеряется в частях на миллион — ppm, то есть количество молекул углекислого газа на миллион молекул воздуха. В естественных условиях концентрация составляет составляет 0,042% —  428 ppm. Однако превышение безопасной концентрации CO₂ приводит к проблемам с дыхательной и сердечно-сосудистой системами, общему ухудшению самочувствия.

Как углекислый газ влияет на самочувствие при разных концентрациях

Концентрация CO₂ в воздухе

Влияние на организм человека

430–600 ppm

Среднее качество воздуха. Оптимальный уровень для комфортного дыхания человека.


600–1000 ppm

Допустимый уровень для жилых и офисных помещений. В этом диапазоне углекислый газ еще не воздействует на организм негативно.

1000–2000 ppm

Появляется легкая сонливость, снижается концентрация внимания.

2000–5000 ppm

Возникают усталость, головная боль, когнитивные нарушения.

Более 5000 ppm

Опасная для здоровья концентрация, вызывает головокружение, тошноту и затруднённое дыхание.


Как углекислый газ влияет на дыхание

Углекислый газ в норме играет важную роль в регуляции дыхания: а именно — он стимулирует дыхательный центр в мозге, который влияет на частоту и глубину вдохов. 

При повышенной концентрации организм сталкивается с рядом проблем:

  • Гиперкапния: состояние, при котором в крови накапливается избыточное количество углекислого газа. Это приводит к одышке, чувству нехватки воздуха и затруднениям в работе дыхательного аппарата.

  • Снижение уровня кислорода: при высоком уровне CO₂ в воздухе организм получает меньше кислорода — это вызывает усталость, выполнять физические действия становится сложней.

Как углекислый газ влияет на работоспособность человека

На концентрациях CO₂ в пределах 800-1000 ppm человек обычно не ощущает сильных нарушений. 

При увеличении уровня CO₂ до 1500-2000 ppm начинается заметное ухудшение когнитивных способностей. Например, человек может стать более рассеянным, у него снижается способность к решению сложных задач, аналитическому мышлению и восприятию новой информации.

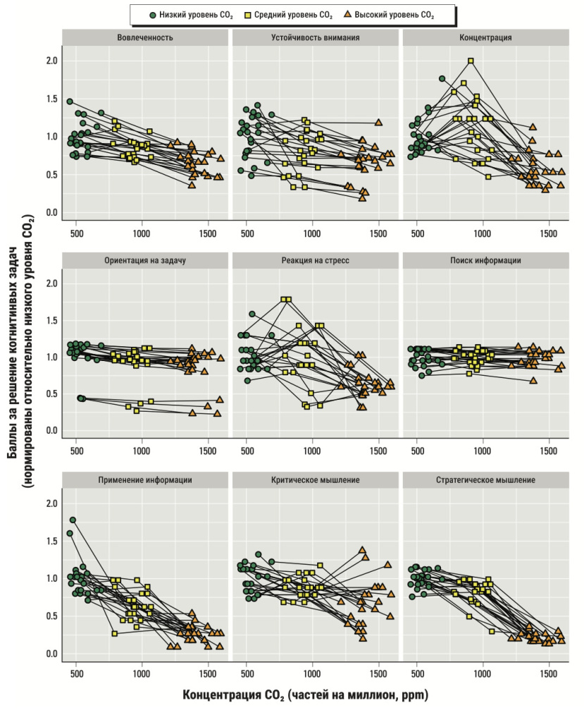
Исследование Гарвардской школы общественного здравоохранения показало, что при увеличении концентрации CO₂ с ~945 ppm до ~1400 ppm когнитивные функции снижаются на 15% и 50% соответственно. График из этого исследования отображает прямую зависимость между уровнем CO₂ и снижением когнитивных способностей

На уровнях 2500-3500 ppm работоспособность снижается еще больше. Признаки — усталость, головная боль, сниженная концентрация и замедленные реакции. Человек может испытывать трудности при выполнении задач, которые требуют высокой точности, например, аналитическая работа, написание отчетов, принятие важных решений и ведение переговоров.

При концентрациях CO₂ выше 3500 ppm становится трудно выполнять задачи, которые требуют физической активности (например, спортивные упражнения или активная работа), мышцы и внутренние органы явно страдают от недостатка кислорода.

Как определить уровень CO₂ в воздухе

Отследить текущий уровень CO₂ в воздухе и предположить превышение его концентрации, можно по прямым и косвенным данным.

В первую очередь это показатели датчиков CO₂. К ним относятся портативные устройства, системы умного дома и стационарные промышленные газоанализаторы. Они измеряют концентрацию CO₂ в реальном времени и сигнализируют о превышении допустимого уровня.

Косвенными признаками повышения CO₂ будут жалобы от людей на духоту, головные боли, сонливость или трудности с концентрацией внимания. В закрытых помещениях, с высокой плотностью размещения людей, уровень CO₂ повышается быстрее. Поэтому небольшая площадь комнаты, плохая система вентиляции, отсутствие проветривания и скопление людей будут подтверждать гипотезу.

Как снизить уровень углекислого газа в помещениях

CO₂ не фильтруется стандартными методами очистки воздуха. Он не задерживается ни HEPA-фильтрами, ни электростатическими фильтрами, ни даже системами ионизации. Чтобы снизить концентрацию углекислого газа, необходимо обеспечить приток свежего воздуха или увеличить его поглощение. Существует несколько способов, как это сделать:

  • проветривать помещения. Жилые комнаты — дважды в день: с утра и перед сном. Летом — не менее 30 минут, зимой достаточно 5-10 минут. Офисные помещения следует проветривать каждые 2-3 часа.

  • установить оконные вентиляционные клапаны. Компактные устройства фиксируются в оконных рамах и обеспечивают постоянный приток свежего воздуха с улицы без необходимости открывать окно. Это простое и энергоэффективное решение для базовой вентиляции жилых помещений. Некоторые клапаны оснащены регулируемыми заслонками, а также шумозащитой и фильтрами грубой очистки.

  • установить системы механической вентиляции, если естественное проветривание затруднено, например, в офисах или на предприятиях. Также можно использовать рекуператоры воздуха — они помогают не только обновлять воздух, но и сохранять тепло в помещении.

  • выращивать комнатные растения. Они не только украшают интерьер, но и помогают поддерживать должное качество воздуха. В процессе фотосинтеза растения поглощают углекислый газ и выделяют кислород.

Лучшие растения для очистки воздуха: фикус, хлорофитум, сансевиерия, папоротник

Размещать растения стоит в местах с наибольшей концентрацией людей. В крупных офисах, коворкингах и опенспейсах расставлять растения можно по всей площади, уделяя особое внимание зонам отдыха, кухни и ресепшна. Дома растения стоит размещать в спальнях, гостиных и на кухне. 

Как Panasonic помогает улучшить качество воздуха в условиях повышенного уровня CO₂

Уровень углекислого газа напрямую зависит от вентиляции. Однако, важно понимать, что качество воздуха — это не только вопрос концентрации CO₂. В помещениях с недостаточной вентиляцией кроме проблемы газообмена, как правило, много пыли, аллергенов, есть бактерии, вирусы и неприятные запахи. Поэтому создание здорового микроклимата требует комплексного подхода.

Решения Panasonic помогают эффективно бороться с этими проблемами даже при ограниченном притоке свежего воздуха.

image8.jpg

Кондиционеры Panasonic серии Etherea «Z / XZ» очищают, увлажняют и дезодорируют воздух 

image7.jpg

Компактный генератор частиц nanoe™ Panasonic F-GPT01R-K эффективен в небольших пространствах. Он нейтрализует бактерии, вирусы, пыльцу и запахи и позволяет наслаждаться чистым воздухом в машине или маленьком кабинете

image9.jpg

Эффективное стационарное решение по очистке воздуха в помещении —  климатический комплекс Panasonic F-VXR50 с технологией ECONAVI: он фиксирует движение людей и уровень освещения и меняет режимы работы и потребление энергии в зависимости от обстановки

Эти устройства не снижают уровень CO₂, но существенно улучшают качество воздуха, циркулирующего в помещении, создавая более здоровую и безопасную среду для работы и отдыха. В сочетании с регулярным проветриванием или базовой вентиляцией они становятся важным элементом системы контроля микроклимата.

Как углекислый газ влияет на организм человека — главное

Оптимальный уровень углекислого газа играет ключевую роль в поддержании хорошего самочувствия и работоспособности человека. Повышение концентрации CO₂ в помещении воздействует на организм: снижается концентрация внимания, повышается утомляемость и ухудшается физическая выносливость. Чтобы создать комфортную и продуктивную атмосферу, важно регулярно проветривать помещение, следить за нормальной работой вентиляции и использовать современные устройства для улучшения микроклимата.

Над материалом работали:

Марина Ермакова

Редактор

Альбина Пыльнова

Редактор

Вам понравилась статья?

Поделиться:

Товары из статьи

Panasonic F-GPT01R-K

Портативный генератор частиц nanoe™

Panasonic F-GPT01R-K

Panasonic F-VXR50

Очиститель воздуха с технологией ECONAVI

Panasonic F-VXR50

Где купить

Предыдущая

Использование масштабируемого и ответственного ИИ для обеспечения здоровья, безопасности и комфорта каждого человека на протяжении всей жизни

Следующая

Отличие фена от стайлера

Еще по теме

Что лучше: воздухоочиститель или увлажнитель воздуха?
27.05.2024
Что лучше: воздухоочиститель или увлажнитель воздуха?
Какая подошва утюга лучше? Советы по выбору
Какая подошва утюга лучше? Советы по выбору
Как выбрать парогенератор для дома
17.02.2026
Как выбрать парогенератор для дома
Как выбрать утюг для дома: подробное руководство 2025 года
28.04.2024
Как выбрать утюг для дома: подробное руководство 2025 года

Пресс-служба Panasonic Россия (для запросов СМИ): press@ru.panasonic.com